Hace unos días, un joven que está en su primer año de bachillerato llegó a comentar que había encontrado en la red una imagen con una de las identidades más bellas de la historia: la identidad de Euler, pues relaciona números trascendentes (e y π) con el número imaginario i, la unidad 1 y el neutro aditivo 0. La ecuación es la siguiente:

Él quiere saber por qué la identidad es verdadera. Desafortunadamente, que una persona de tan corta edad se emocione al ver algo referido a las matemáticas es un evento poco frecuente: la mayoría ve esta materia con desdén. Lo anterior lleva a la pregunta: ¿por qué sucede esto?
Mucho tiene que ver cómo es que se enseña este arte. Recordemos que lo que nos presentan como matemáticas, primaria a preparatoria, son operaciones y reglas. A diferencia de otras materias, no se da el contexto histórico de los resultados que utilizamos o qué razonamiento nos lleva a realizar las operaciones, por qué tiene sentido. Se justifica ese sistema bajo la frase esto va a ser útil para su vida. ¿Quién fuera de las ciencias e ingenierías ha derivado o integrado en su día a día? La justificación que se da es insostenible.
A nivel superior el asunto no cambia mucho; salvo en algunas licenciaturas, lo que se ve de matemáticas son resultados que se pueden y deben utilizar para algo, se sigue con la justificación de siempre: están en función de algo más. Las matemáticas son un instrumento para modelar fenómenos reales o una herramienta básica para ciertas actividades diarias. Por ejemplo, los economistas utilizan las condiciones de Karush-Kuhn-Tucker para saber si una solución a un problema de optimización no lineal, de una o más variables, es la solución óptima. O en investigaciones que conciernen a sociólogos suele usarse la técnica de regresión lineal para demostrar la causalidad en ciertos eventos. O simplemente el sumar los costos de los artículos que se quieren comprar en el supermercado.
La visión anterior es válida pero, a mi entender, no es única. El hecho de que las matemáticas nos permitan modelar fenómenos reales las reviste de un sentido platónico: mientras que los fenómenos se presentan en este mundo tangible, los modelos y los resultados matemáticos viven en el mundo de las ideas. Muchas de estas ideas no las vemos representadas de forma concreta pero tienen un encanto que roza con lo artístico. Para exponer mi punto de vista, además de la identidad de Euler, presentaré tres resultados, de los cuales probaré dos, bellos que son ajenos al mundo físico. El primero de ellos tiene que ver con el residuo que queda al dividir un número natural entre 7; el segundo expone que existen infinitos de distintos tamaños; mientras que el tercer resultado es el llamado teorema de Napoleón.
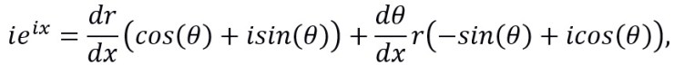
Primero demostraré la validez de la identidad de Euler. Quienes ya estén familiarizados con la fórmula de De Moivre podrán obtener este resultado de forma inmediata. Para los que no, aquí va la explicación. Cualquier punto (x,y) dentro del plano cartesiano se puede describir por medio de un radio r y un ángulo θ. Un número complejo z = x+iy puede ser caracterizado por un punto en el plano cartesiano en el que la parte real se dé sobre el eje de las equis y la parte imaginaria sobre el eje de las yes. En ese caso, al tomar eix podemos asumir que el resultado será un número complejo y así

en donde r y θ dependen implícitamente de x. Si se deriva respecto de x entonces se tiene que

que junto a la identidad anterior implican que r’(x) = 0 y θ’(x) = 1 por lo que r(x) es constante y θ (x) = x+k1, ya se ha hecho explícita la dependencia de r y θ respecto de x. Si usamos el hecho de que e0 = 1 entonces r = 1 y θ = x por lo que

al sustituir x por π y reacomodar términos se llega a la identidad de Euler. Esta identidad no tiene utilidad más que la de relacionar los números dada en el primer párrafo: esta relación es una belleza.
Para el resultado que tiene que ver con el residuo que queda al dividir un número natural, esto es, un número entero mayor que 1, entre siete se usará la siguiente gráfica.

La idea es escribir el número de la forma d1d2…dk en donde k es el número de dígitos que tiene nuestro número. En este caso empezamos en el nodo indicado con el 0 y por medio de las líneas punteadas nos movemos d1 veces. Si ya no quedan dígitos ya acabamos; en el caso contrario, desde donde nos quedamos nos movemos una vez por medio de las flechas continuas y de ahí nos movemos d2 veces sobre las lineas punteadas. Continuar así hasta que ya no haya más dígitos que recorrer. Para ejemplificar esto usemos el número 5363 que debemos hacer. Empezando en 0 nos movemos cinco veces y llegamos al nodo 5, como todavía tenemos más dígitos nos movemos al nodo 1 y de ahí nos movemos al nodo 4, aún quedan dígitos por lo que nos movemos al 5 y de ahí al 4, nuevamente nos movemos al 5 y finalizamos en el 1. Efectivamente este es el residuo pues 5663 = 7 × 766 + 1 ¿Soy un tramposo y escogí ese número porque sí funciona? No, si se intenta con otros números entonces es rápido convencerse de que siempre nos dará el resultado correcto. ¿Por qué? En el fondo la idea tiene que ver que las flechas negras nos llevan del residuo que queda de un dígito d al residuo de 10 × d y a este residuo se le suma el residuo del siguiente dígito. Este resultado se puede extender para los residuos de otros números distintos al 7 y es inútil porque es muy poco práctico construir la gráfica para números suficientemente grandes o calcular el residuo cuando la cantidad de dígitos es abismal, pero los dibujos son requetechulos.
El tercer resultado fue controversial cuando Georg Cantor lo presentó. Matemáticos como Kronecker no creían que hablar matemáticamente de infinitos tuviera sentido. Hoy en día la idea es aceptada sin mayor problema. El cardinal infinito más pequeño que conocemos es el que concierne a los números naturales (ℵ0). Si un conjunto tiene la misma dimensión que los naturales entonces uno puede enumerar a los elementos de éste. La idea es ver que existen conjuntos en los cuales no se pueden enumerar todos los elementos y por lo tanto tiene una cardinalidad mayor que ℵ0. Para esto nos vamos a concentrar en los números entre 0 y 1. Cada uno de estos se puede expresar de forma única como 0.d1d2d3… en donde la sucesión de dígitos continua hasta el infinito (¡ja!). Supongamos por un momento que podemos enumerar todos los elementos de este estilo:

Definamos y = y1y2y3… en donde y1 es igual a 1 si d11 es distinto de 1 e igual a 2 en el caso contrario, y2 es igual a 1 si d22 es distinto de 1 e igual a 2 en el caso contrario, y3 es igual a 1 si d33 es distinto de 1 e igual a 2 en el caso contrario y así sucesivamente. Entonces vemos que y es diferente de todas las equis enlistadas pero está entre 0 y 1, lo cual es una contradicción pues se supone que todos los elementos habían sido numerados. La contradicción radica en creer que hay la misma cantidad de números reales entre 0 y 1 que de números naturales. ¡Entonces la cardinalidad del intervalo (0,1) es mayor que la cardinalidad de los naturales! ¡Hay infinitos más grandes que otros infinitos!
Finalmente llegamos a uno de mis resultados favoritos: el teorema de Napoleón. La versión más conocida dice así: si se dibuja un triángulo cualquiera y de cada lado se dibuja un triángulo equilátero hacia afuera, los gravicentros de los triángulos resultantes forman un triángulo equilátero. Basta ver la siguiente imagen para tener un ejemplo:

Este resultado no puedo demostrarlo porque no cuento con los conocimientos suficientes de geometría. Sin embargo la belleza de obtener un triángulo equilatero al partir de un triángulo cualquiera no deja de impactarme. Es una delicia de resultado sin tener una aplicabilidad en nuestro día a día.
Para finalizar quiero remarcar que entiendo y acepto la visión utilitaria que se tiene sobre las matemáticas, aunque esto a veces conlleve a su abuso, pero es esencial no perder de vista que éstas son un fin en sí mismo y que cuando se aprende a gozar de ellas pueden proporcionar el mismo placer que observar una obra de Escher.
Imagen de José Pedro Croft
