Dame una bola de cristal y de esa puedo construir dos bolas de cristal del mismo tamaño que la bola original. ¿Qué persona se atrevería a decir semejante cosa? La realidad es que si destrozamos una bola de cristal de cualquier manera, por propiedades físicas, no es posible encontrar un acomodo de las piezas tal que se formen dos bolas iguales a la original. Sin embargo, un teorema matemático, el teorema llamado paradoja de Banach-Tarski, afirma lo contrario; éste dice lo siguiente:
Si se tiene una bola sólida en un espacio de tres dimensiones entonces se puede encontrar una descomposición de ésta a tal grado que sus partes se puedan reacomodar de forma que se obtengan dos bolas idénticas a la primera.
Siempre se remarca que las matemáticas son una ciencia exacta. Suponiendo que esto es cierto, ¿por qué la realidad no corresponde a un teorema que se probó verdadero? La demostración de este teorema recae en un axioma llamado axioma de elección. Para entender lo que éste dice es mejor poner un ejemplo:
Supongamos que tenemos una colección infinita de calcetines donde cada par está numerado, es decir, se tiene el par uno, el par dos, el par tres y así hasta el infinito (y más allá). Además, supongamos que en los pares siempre hay un calcetín rojo y uno azul. Entonces, de cada par se puede escoger un calcetín. Formalmente, si se tiene una colección de conjuntos X1, X2, X3, en la que ninguno es vacío, entonces existe una función de elección (escoge un elemento de cada conjunto) definida sobre esta colección de conjuntos. Dado el ejemplo, este axioma suena razonable e intuitivo, sin embargo, hay matemáticos que deciden no usarlo e incluso hay algunos que indagan sobre modelos que utilizan una negación de este axioma. Parte de esta búsqueda radica en los teoremas de incompletud de Gödel que escapan de las miras de este texto. Lo que se debe remarcar es que si se asumen distintos axiomas entonces el teorema no se podría probar.
Con esto se presenta un punto importante: la realidad y un modelo teórico no son lo mismo, incluso al tratarse de un modelo muy bien pensado y completamente matemático. Si éste se plantea bien entonces lo más a lo que puede aspirar es a aproximarse con efectividad a la realidad; o bien, como en el caso de la paradoja, éste no corresponde a la realidad.
Éste es un verdadero problema cuando se busca explicar un fenómeno bajo una ley matemática. Esto sucede en las ciencias sociales: un ejemplo concreto es intentar explicar la preferencia de los padres respecto al sexo de los hijos al observar cómo afecta el sexo de un primogénito la probabilidad de que el padre viva con la madre y la criatura además de su efecto sobre la fertilidad, el número total de hijos, dentro de una familia. Este ejemplo no es inventado, Dahl y Moretti escribieron un artículo, “The Demand for Sons”, en el cuál demuestran que, en Estados Unidos, se prefiere tener hijos a hijas. Subrayo el “demuestran” porque en las conclusiones admiten que sus estimaciones sugieren que su hipótesis es más probable bajo los supuestos que ellos imponen. Aquí los autores son precavidos pero alguien que lea ese artículo y encuentre razonable todo lo que se plantea podría creer que el modelo es una representación fidedigna de la realidad y entonces la conclusión, más probable para los autores, se convierte en segura, es por eso que se toman medidas respecto al fenómeno que se estudia. Si el modelo fuese incorrecto esto podría tener consecuencias poco fortuitas.
¿Por qué un modelo podría ser erróneo? Una razón muy sencilla es porque la intuición que se tiene sobre un fenómeno es incorrecta.
Para demostrar esto un simple ejercicio de imaginación basta: supongamos que se está observando una sucesión de volados en la que la moneda es justa, es decir, que la probabilidad de que caiga águila es la misma de que caiga sol (0.5). Si sucede, por azares del destino, que el mismo lado de la moneda, sol, ha caído en diez volados seguidos son dos intuiciones las comunes: o se cree que es más probable que caiga águila pues ver una sucesión de diez soles seguidos nos parece casi increíble en el siguiente volado o se cree que la moneda no es justa (está truqueada). Por hipótesis la segunda de las intuiciones es incorrecta pues se asumió que la moneda era justa. ¿Qué pasa, entonces, con la primera? No sé quién lea esto, pero yo no he visto caer once veces seguidas la misma cara en volados consecutivos. Sin embargo, el resultado del siguiente lanzamiento no depende de los volados anteriores, se puede ver como un experimento único y la probabilidad de que caiga águila es la misma de antes; a pesar de una increíble sucesión esto no merma la probabilidad de que aparezca otro sol. Nada cambia.
Otro ejemplo conocido es el problema de Monty Hall. Este problema surgió gracias a un concurso televisivo llamado Let’s Make a Deal, en el cual se tienen tres puertas, detrás de las que hay dos cabras y un automóvil. La mecánica es la siguiente: primero se escoge una puerta de las tres, luego el anfitrión abre una de las otras dos puertas, detrás de la cual hay una cabra; sucedido lo anterior se nos da la opción de cambiar de puerta o de quedarnos con la puerta escogida. Sin pensarlo mucho podríamos decir que al principio tenemos una probabilidad de un tercio de escoger la puerta correcta y que después de que el anfitrión abre una puerta entonces tenemos una probabilidad de un medio de escoger la puerta correcta. ¡Pero esta línea de pensamiento no es correcta! Que el anfitrión abra una puerta en la que hay una cabra nos da información que desperdiciamos. Para ver esto el siguiente argumento basta:
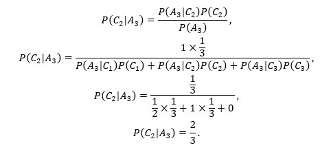
Sin pérdida de generalidad se puede asumir que siempre se escoge la puerta 1 al principio (de no escogerse las puertas pueden reenumerarse). Sean C1, C2, C3 los eventos de que el carro esté en la puerta 1, 2 o 3, correspondientemente y sean A1, A2, A3 los eventos de que el anfitrión abra la pueta 1, 2 o 3. Entonces se tiene lo siguiente:

donde P(A3 |Ci) es la probabilidad de que el anfitrión abra la puerta 3 dado que el automóvil está en la puerta i. Al igual que se supuso que siempre se escoge la puerta 1 al principio también se puede suponer que el anfitrión abre la puerta 3, de donde se obtiene lo siguiente:

¡Bajo los supuestos dados la probabilidad de ganar si se cambia de puerta es ahora de dos tercios! Para que este modelo funcione se asume que el anfitrión tiene información sobre la disposición de las cabras y el automóvil, por lo que se nos da información nueva cuando abre una puerta. Si este supuesto no se cumpliera, entonces la intuición original de la equiprobabilidad entre las dos puertas restantes sería la acertada, en el caso de que abra una puerta con una cabra detrás.
Otro motivo por el que un modelo no se aproxime bien a la realidad es que no se analiza el contexto bajo el que se obtienen los datos con el que se ajusta éste. Consideremos dos experimentos:
- Un borracho dice tener poderes sobrenaturales y saber cuál será el resultado de un volado. Se lanza una moneda diez veces y en todas le atina al resultado.
- Un estudiante de música dice poder distinguir entre la obra de Mozart y Beethoven con ver únicamente una parte de alguna partitura de éstos porque los conoce a la perfección. Le presentamos diez partituras de ellos y acierta en todas.
En ambos casos se puede plantear una hipótesis sobre si su afirmación es correcta o no y se tienen diez observaciones distintas que pueden ser acertó o falló. En este sentido, las diez observaciones son acertó en ambos casos y bajo un modelo usual de estadística no se puede rechazar la hipótesis de que digan la verdad; esto significa que no se puede rechazar que el borracho tenga poderes sobrenaturales ni que el estudiante conozca a la perfección a los dos compositores. ¿Qué es lo que sucede aquí? En el caso del estudiante, dadas sus condiciones, es factible que de verdad conozca a la perfección a ambos compositores y por eso haya acertado en cada una de las observaciones; en tanto, nuestra creencia en los poderes sobrenaturales es casi nula y, asumiendo que la moneda es justa, confiamos en que el acierto del borracho es mera casualidad.
El ejemplo anterior es muy obvio, pero permite ver que el contexto bajo el que se observen ciertos datos sí importa. Un ejemplo real de esto se presenta en el artículo “Race and Marriage in the Labor Market: A Discrimination Correspondence” de Arceo y Campos en el que demuestran que existe discriminación racial en el mercado laboral. La idea es sencilla: generar currículas aleatorias en las que ponen fotos distintas y envían éstas a compañías por medio de una bolsa de trabajo en la red. La variable que se mide como respuesta es si se contacta a una de las personas ficticias y contemplan todas sus observaciones como independientes, es decir, la respuesta de uno no afecta la respuesta de ningún otro. Esto no es necesariamente cierto, si una misma empresa recibe 10 currículas, pero por motivos internos solamente puede evaluar a cinco personas entonces las variables de respuesta de esas 10 currículas interactúan entre sí. Además, la información que recaban corresponde a una bolsa de trabajo en la red por lo que su modelo solamente se aproxima a esa realidad, sin embargo, concluyen que existe una discriminación racial en el mercado laboral mexicano en general.
Finalmente, es común querer explicar los fenómenos que acontecen en nuestra realidad: por creer que las matemáticas son exactas se busca modelar estos fenómenos con ellas y no pocas son las veces que se cree que este modelo representa a la realidad al cien por ciento, cuando por varias razones (algunas de ellas aquí) esto pudiera no ser cierto. Ya lo dijo George Box en 1987: “Essentially, all models are wrong, but some are useful”.
Imagen tomada de shutterstock
